交流電路中的無源元件

無源元件是那些只能減少施加在它們上面而不是增加它的電能的電路裝置
電氣和電子電路包括將許多不同的部件連線在一起以形成完整的閉合電路。任何電路中使用的三個主要無源元件是: 電阻器,電容器和電感器。所有這三個無源元件都有一個共同點,它們限制了通過電路的電流流動,但方式卻截然不同。
電流可以以兩種方式中的任何一種流過電路。如果它在一個穩定的方向上流動,它只被歸類為直流電(DC)。如果電流在兩個方向上來回交替,則將其歸類為交流電(AC)。雖然它們在電路中呈現阻抗,但 AC 電路中的無源元件與 DC 電路中的無源元件表現得非常不同。
無源元件消耗電能,因此不能增加或放大施加於它們的任何電訊號的功率,這僅僅是因為它們是無源的並且因此總是具有小於 1 的增益。電氣和電子電路中使用的無源元件可以以如下所示的無限多種方式連線,這些電路的操作取決於它們的不同電特性之間的相互作用。
交流電路中的無源元件

其中: R 是電阻,C 是電容,L 是電感。
無論供電頻率如何,無論是在直流電源還是交流電路中使用的電阻器都將始終具有相同的電阻值。這是因為電阻器被歸類為具有寄生特性的純電阻,例如無限電容 C =∞ 和零電感 L = 0。此外,對於電阻電路,電壓和電流始終是同相的,因此可以通過將電壓乘以該時刻的電流來找到任何時刻消耗的功率。
另一方面,電容器和電感器具有不同型別的 AC 電阻,稱為電抗 ( XL 和 XC)。電抗也會阻礙電流的流動,但電阻量不是一個電感器或電容器的固定量,其方式與電阻器具有固定電阻值的方式相同。電感器或電容器的電抗值取決於電源電流的頻率以及元件本身的 DC 值。
以下是交流電路中常用的無源元件列表及其相應的公式,可用於查詢其值或電路電流。注意,理論上完美的(純)電容器或電感器沒有任何電阻。然而,在現實世界中,無論多小,它們總會具有一定的阻值。
純電阻電路
電阻器 - 電阻器調節,阻止或設定通過特定路徑的電流,或者由於該電流流動而在電路中施加電壓降低。電阻器具有一種阻抗形式,簡稱為*電阻,( R)電阻器的電阻值以歐姆, ω 為單位測量。電阻器可以是固定值或可變值(電位計)。
![]() |
![]() |
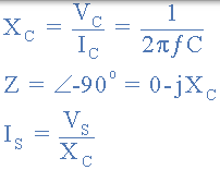
純電容電路
電容器 - 電容器是具有以小電池形式儲存電能形式的能力或“容量”的元件。電容器的電容值以法拉第 F 為單位測量。在 DC 處,電容器具有無限(開路)阻抗( XC),而在非常高的頻率下,電容器具有零阻抗(短路)。
![]() |
![]() |
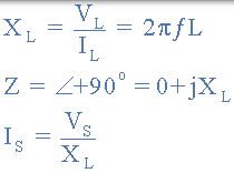
純電感電路
電感器 - 電感器是一種線圈,它會在電流通過線圈的直接結果中在自身內部或中心磁芯內感應出磁場。電感器的電感值在 Henries,H 中測量。在 DC 處,電感器具有零阻抗(短路),而在高頻處,電感器具有無限(開路)阻抗( XL)。
![]() |
![]() |
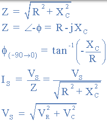
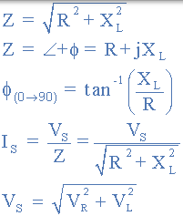
系列交流電路
AC 電路中的無源元件可以串聯組合連線在一起,形成 RC,RL 和 LC 電路,如圖所示。
系列 RC 電路
![]() |
![]() |
RL 系列電路
![]() |
![]() |
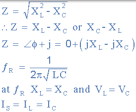
系列 LC 電路
![]() |
![]() |
並聯交流電路
AC 電路中的無源元件也可以並聯組合連線在一起,形成 RC,RL 和 LC 電路,如圖所示。
並聯 RC 電路
![]() |
![]() |
並聯 RL 電路
![]() |
![]() |
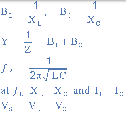
並聯 LC 電路
![]() |
![]() |
無源 RLC 電路
AC 電路中的所有三個無源元件也可以串聯 RLC 和並聯 RLC 組合連線在一起,如下所示。
串聯 RLC 電路
![]() |
![]() |
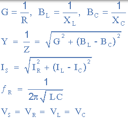
並聯 RLC 電路
![]() |
![]() |
我們已經看到,由於頻率的影響,交流電路中的無源元件與直流電路中的無源元件的行為非常不同( ƒ)。在純電阻電路中,電流與電壓同相。在一個純電容電路中的電容器的電流通過 90 超前電壓o 和在一個純電感電路中的電流通過 90 滯後於電壓o。
電流流過交流電路中的無源元件的反對稱為: 電阻,電阻器的 R,容性電抗,電容器的 XC 和電感,電感器的 XL。 電阻和電抗的組合稱為阻抗。
在串聯電路中,橫跨電路的元件的電壓的相量之和等於電源電壓,VS。在一個並聯電路中,在每個分支,並且因此通過每個電路元件中流動的電流的相量之和等於電源電流,IS。
對於這兩個並聯和串聯連線的 RLC 電路,當所述供電電流是“同相”與電源電壓的電路諧振產生如 XL = XC。串聯諧振電路被稱為接收器*電路。並聯諧振電路稱為 *Rejecter 電路。




















