電容器並聯

當兩個端子連線到另一個電容器的每個端子時,電容器並聯連線在一起
並聯連線的所有電容器之間的電壓( Vc)是相同的。然後,並聯的電容器在它們之間有一個“共同電壓”電源,如下所示:
VC1 = VC2 = VC3 = VAB = 12V
在下面的電路中,電容器 C1,C2 和 C3 都在點 A 和 B 之間的並聯支路中連線在一起,如圖所示。

當電容器並聯連線在一起時,總電容或等效電容,電路中的 CT 等於加在一起的所有單個電容器的總和。這是因為電容器的頂板 C1 連線到 C2 的頂板,C2 的頂板連線到 C3 的頂板,依此類推。
電容器底板也是如此。然後,就像三組板彼此接觸並且等於一個大單板一樣,從而增加有效板面積 m2。
由於電容 C 與板面積(C =ε(A / d))有關,因此組合的電容值也會增加。然後,實際上通過將板面積加在一起來計算並聯連線在一起的電容器的總電容值。換句話說,總電容等於並聯的所有單個電容的總和。你可能已經注意到,並聯電容器的總電容與串聯電阻器的總電阻相同。
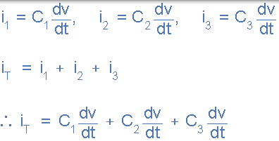
流過每個電容器的電流和我們在前面的教程中看到的電壓有關。然後通過將基爾霍夫電流定律( KCL)應用於上述電路,我們得到了

這可以重寫為:

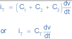
然後我們可以定義總電路或等效電路電容,CT 是所有單個電容加在一起的總和,給出了我們的廣義等式:
並聯電容器方程

將電容並聯時,必須將它們全部轉換為相同的電容單位,無論是 μF,nF 還是 pF。此外,我們可以看到流過總電容值 CT 的電流與總電路電流 iT 相同
我們還可以使用 Q = CV 方程從電容器極板上的電荷來定義並聯電路的總電容。儲存在所有板上的總電荷 QT 等於每個電容器上各個儲存電荷的總和,因此,

隨著電壓,( V)是很常見的並行連線的電容器,可以通過電壓,只留下電容通過劃分上述方程的兩側,並且通過簡單地新增在一起的各個電容的值給出的總電容,CT。此外,該等式不依賴於分支中並聯電容器的數量,因此可以推廣到連線在一起的任意數量的 N 個並聯電容器。
電容器並聯示例 No 1
因此,通過從上面的例子中獲取三個電容器的值,我們可以計算出總等效電路電容 CT 為:
CT = C1 + C2 + C3 = 0.1uF + 0.2uF + 0.3uF = 0.6uF

要記住的並聯連線的電容器電路的一個重要的一點,總電容( CT 並聯連線在一起的任何兩個或更多個電容器的)總是比它們組中的最大電容還要大,因為並聯電容值是各個電容值我們相加。因此,在上面的示例中,CT =0.6μF,而最大電容值僅為 0.3μF。
當 4,5,6 或甚至更多電容器連線在一起時,電路 CT 的總電容仍然是加在一起的所有單個電容器的總和,正如我們現在所知,並聯電路的總電容總是大於最高值的電容器。
這是因為我們有效地增加了板的總表面積。如果我們使用兩個相同的電容器,我們將板的表面積加倍,這又使組合的電容加倍,等等。
電容器並聯示例 No 2
當以下電容器以並聯組合方式連線在一起時,計算以下電容器的微法拉(μF)組合電容:
- a) 兩個電容器,每個電容器的電容為 47nF
- b) 一個 470nF 的電容器並聯連線到 1μF 的電容器
a)總電容,
CT = C1 + C2 = 47nF + 47nF = 94nF 或 0.094μF
b)總電容,
CT = C1 + C2 = 470nF +1μF
因此,CT = 470nF + 1000nF = 1470nF 或 1.47μF
因此,包含兩個或更多個並聯電容器的電路的總電容或等效電容 CT 是隨著電路板的有效面積增加而加在一起的所有單個電容的總和。
在我們關於電容器的下一個教程中,我們考慮將串聯電容器連線在一起,以及這種組合對電路總電容,電壓和電流的影響。