交流电路中的电容

连接到正弦电源的电容器会产生电源频率和电容器大小的电抗
当电容器连接在直流直流电源电压上时,它们会充电到所施加电压的值,就像临时存储设备一样,只要电源电压存在,就会无限期地保持或保持该电荷。
在该充电过程期间,充电电流(i)将以与板上的电荷的变化率相等的速率流入电容器,与电压的任何变化相反。
该充电电流可以定义为:i = CdV / dt。一旦电容器“完全充电”,电容器就会阻止任何更多电子流入其板上,因为它们已经饱和。但是,如果我们施加交流电或交流电源,电容器将以由电源频率确定的速率交替充电和放电。然后,随着电容器不断充电和放电,交流电路中的电容随频率而变化。
我们知道电子在电容器极板上的流动与这些极板上的电压变化率成正比。然后,我们可以看到 AC 电路中的电容器在其板上的电压相对于时间不断变化时(例如在 AC 信号中)通过电流,但是当施加的电压具有恒定值时它不喜欢通过电流例如在 DC 信号中。考虑下面的电路。
交流电容电路

在上面的纯电容电路中,电容器直接连接在交流电源电压上。随着电源电压的增加和减少,电容器就这种变化进行充电和放电。我们知道充电电流与板上电压的变化率成正比,当电源电压从其正半周期到负半周期交叉时,这个变化率最大,反之亦然。沿正弦波 0º 和 180º 。
因此,当 AC 正弦波以其最大或最小峰值电压电平( Vm) 越过时,发生最小的电压变化。在周期中的这些位置,最大或最小电流流过电容器电路,如下所示。
交流电容相量图

在 0º 时,电源电压的变化率在正方向上增加,导致该时刻有最大充电电流。作为所施加的电压达到 90 其最大峰值 º 在时间非常短暂瞬间电源电压既不是增加或减少,从而有流过电路中没有电流。
当施加的电压在 180º 开始减小到零时,电压的斜率为负,因此电容器在负方向上放电。在沿线的 180º 点处,电压的变化率再次达到其最大值,因此在该瞬间流过最大电流,依此类推。
然后我们可以说,对于交流电路中的电容器,无论何时施加的电压达到最大值,瞬时电流都处于最小值或零,同样当施加的电压达到最小值时,电流的瞬时值处于其最大值或峰值。或者为零。
从以上的波形,我们可以看到,电流通过 1/4 周期或 90º 超前于电压,如由矢量图所示。然后我们可以说在纯电容电路中,交流电压滞后电流 90º 。
我们知道,流经交流电路中电容的电流与施加电压的变化率相反,但就像电阻一样,电容器也提供某种形式的电阻来抵抗通过电路的电流,但在交流电路中使用电容器电路中的这种交流电阻称为电抗,或者更常见于电容电路,即电容电抗,因此交流电路中的电容会受到电容电抗的影响。
电容电抗
纯电容电路中的电容电抗仅与交流电路中的电流相反。与电阻一样,电抗也以欧姆为单位测量,但是给出符号 X 以区别于纯电阻值。由于电抗是一种也可以应用于电感器和电容器的量,当与电容器一起使用时,它通常被称为电容电抗。
对于交流电路中的电容器,电容电抗的符号为 Xc。那么我们实际上可以说电容电抗是一个随频率变化的电容电阻值。此外,容抗取决于法拉电容的电容以及交流波形的频率,用于定义容抗的公式如下:
电容电抗

其中: F 是赫兹,C 是法拉。2π 也可以统称为希腊字母 Omega - ω,表示角频率。
根据上面的容抗电阻公式,可以看出,如果频率或电容中的任何一个增加,则总容抗将减小。当频率接近无穷大时,电容器电抗将减小到零,就像完美导体一样。
然而,当频率接近零或 DC 时,电容器电抗将增加到无穷大,起到非常大的电阻作用。这意味着对于任何给定的电容值,容性电抗与频率成反比,如下所示:
对频率的电容反应

电容器的容抗随着其上的频率增加而减小,因此容性电抗与频率成反比。
对电流的反对,板上的静电电荷(其 AC 电容值)保持不变,因为电容器在每个半周期期间更容易完全吸收其板上电荷的变化。
此外,随着频率增加,流过电容器的电流值增加,因为其板上的电压变化率增加。
然后我们可以看到,在 DC 处,电容器具有无限电抗(开路),在非常高的频率下,电容器具有零电抗(短路)。
交流电容示例 No1
当一个 4μF 电容连接在 880V,60Hz 电源上时,找到交流电容电路中的均方根电流。

在交流电路中,通过一个电容器,它由 90 导致的电压的正弦电流 º ,随频率变化的电容器正在不断充电和由所施加的电压进行放电。电容器的交流阻抗称为电抗,我们正在处理电容器电路,通常称为电容电抗,XC
交流电容示例 No2
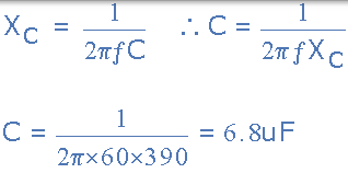
当平行板电容器连接到 60Hz AC 电源时,发现其电抗为 390 欧姆。以微法计算电容值。

正如我们在 AC 理论部分的 AC 电容教程中所看到的那样,这个容性电抗与频率成反比并产生与电容式交流电路周围电流的对立。